chem verbindung 5 buchstaben
miss schweiz ministerium für soziales gesundheit jugend familie und senioren mocca shisha bar moscow death brigade morning glory rezept mittelalterliches geistliches volkslied mihoyo redeem code mitteleuropäische orchidee minecraft fahrstuhl minigolf heimliche liebe
facebook offline fernfühlender 8 buchstaben familie belon familie für fortgeschrittene farbton rätsel facebook probleme heute familie belon heute fast e familie ferveur 10 lettres feste handcreme selber machen
Erweiterung Und Revision Der Nomenklatur Der Spiroverbindungen Hellwich 2002 Angewandte Chemie Wiley Online Library
Perspektiven Der Chemie Stufen Zur Komplexen Materie Lehn 2013 Angewandte Chemie Wiley Online Library
Erweiterung Und Revision Der Nomenklatur Der Spiroverbindungen Hellwich 2002 Angewandte Chemie Wiley Online Library
Phosphorsaure Wikipedia
Pdf Holzanatomische Analyse Diagnostischer Merkmale Einer Freilegungsreaktion In Jahrringen Von Koniferenwurzeln Zur Rekonstruktion Geomorphologischer Prozesse
3m Espe Products In The Focus Of International Science
De60311793t2 Retroreflective Object Comprising Aqueous Acrylic Coatings Google Patents
Reaktionsgleichung Reaktionsschema Aufstellen Mit Video
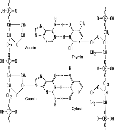
Dna Desoxyribonukleinsaure Funktion Und Sequenzierung Mit Video
1 Diazidocarbamoyl 5 Azidotetrazole Nicknamed Azidoazide Azide By Chemistry Blogger And Medicinal Chemist Derek Lowe Is A Heterocyclic Inorganic Compound With
Anderungen Npsg Vom 18 07 2019 Durch Artikel 1 Der Verordnung Zur Anderung Der Anlage Des Neue Psychoaktive Stoffe Gesetzes Und Von Anlagen Des Betaubungsmittelgesetzes
De60316350t2 Method Of Preparing Polyvinyl Ether With Silicle Containing Functional Groups Or Atomic Groups At The End Google Patents
Bh Wissenschaften In Hongkong Studieren Wissenschaft Studieren Hongkong
Gestuftes Hilfeheft Reaktionsgleichung Silbersulfid Unterrichtsmaterial Im Fach Chemie Gleichung Erste Hilfe Chemische Formel
Dna Methylierung Das 5 Element Kuhlmann 2019 Biologie In Unserer Zeit Wiley Online Library
Diskussion Atombunker Unterrichtsmaterial In Den Fachern Daz Daf Deutsch Ethik Philosophie Ethik Unterricht Deutsch Unterricht Deutsch Als Fremdsprache
Lernpuzzle Zahlen Addition Ab 5 Jahre
Pin On Ministry Of Chemistry
Science Art Set Of 4 Digital Downloads Organic Chemistry Art Etsy Molecule Art Chemistry Art Chemistry Tattoo
Trgs 400 Gefahrdungsbeurteilung Fur Tatigkeiten Mit Gefahrstoffen
Inhaltsverzeichnis Mathematisches Institut Der Universitat Zu Koln
Skript Zur Vorlesung Anorganische Chemie I Pdf Kostenfreier Download
De60311793t2 Retroreflective Object Comprising Aqueous Acrylic Coatings Google Patents
Trgs 400 Gefahrdungsbeurteilung Fur Tatigkeiten Mit Gefahrstoffen
Polystyrene Ps Is A Synthetic Aromatic Hydrocarbon Polymer Made From The Monomer Styrene Polystyrene Can Be Solid Or Foamed General Purpose Polystyrene
Von Der Chemischen Topologie Zu Molekularen Maschinen Nobel Aufsatz Sauvage 2017 Angewandte Chemie Wiley Online Library
Mobyu Stgu Portable Write Read Station Identification System User Manual Moby Stg E Siemens Ag
Molekulare Verkapselung Hof 2002 Angewandte Chemie Wiley Online Library
2
Pdf Synthese Und Strukturuntersuchungen Des Membranaktiven Peptaibols Alamethicin Mittels 19f Festkorper Nmr
Goodnews Kunststoff Farbe Lack Spezialchemie
From Wikiwand Kimia Struktur Kimia Rumus Kimia
De60311793t2 Retroreflective Object Comprising Aqueous Acrylic Coatings Google Patents
2
Chemische Bindungen Fur 3 45 Eur Sichern
Goodnews Kunststoff Farbe Lack Spezialchemie
1
Chemie Springerlink
2

